Contents

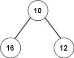
The following given tree is an example for?
a) Binary tree
b) Binary search tree
c) Fibonacci tree 
d) AVL tree

a

Explanation: The given tree is an example for binary tree since has got two children and the left and right children do not satisfy binary search tree’s property, Fibonacci and AVL tree.


A binary tree is a rooted tree but not an ordered tree.
a) true                                   
b) false

b

Explanation: A binary tree is a rooted tree and also an ordered tree (i.e) every node in a binary tree has at most two children.


How many common operations are performed in a binary tree?
a) 1                        
b) 2                        
c) 3                        
d) 4

c

Explanation: Three common operations are performed in a binary tree- they are insertion, deletion and traversal.


What is the traversal strategy used in the binary tree?
a) depth-first traversal
b) breadth-first traversal
c) random traversal
d) Priority traversal

b

How many types of insertion are performed in a binary tree?
a) 1                        
b) 2                        
c) 3                        
d) 4

b

General ordered tree can be encoded into binary trees.
a) true                                   
b) false

a

Explanation: General ordered tree can be mapped into binary tree by representing them in a left-child-right-sibling way.